Beranda
/ Contoh Soal Pilihan Ganda Fungsi Komposisi : Contoh Soal Uan Fungsi Komposisi Invers / Contoh soal fungsi komposisi dan invers dan jawaban pembahasan contoh soal fungsi komposisi dan invers pilihan ganda pembahasan berikut ini bank contoh soal fungsi komposisi dan invers lengkap dengan jawaban beserta penyelesaiannya untuk siswa dari berbagai penerbit buku yang berjumlah 20 butir.
Contoh Soal Pilihan Ganda Fungsi Komposisi : Contoh Soal Uan Fungsi Komposisi Invers / Contoh soal fungsi komposisi dan invers dan jawaban pembahasan contoh soal fungsi komposisi dan invers pilihan ganda pembahasan berikut ini bank contoh soal fungsi komposisi dan invers lengkap dengan jawaban beserta penyelesaiannya untuk siswa dari berbagai penerbit buku yang berjumlah 20 butir.
Contoh Soal Pilihan Ganda Fungsi Komposisi : Contoh Soal Uan Fungsi Komposisi Invers / Contoh soal fungsi komposisi dan invers dan jawaban pembahasan contoh soal fungsi komposisi dan invers pilihan ganda pembahasan berikut ini bank contoh soal fungsi komposisi dan invers lengkap dengan jawaban beserta penyelesaiannya untuk siswa dari berbagai penerbit buku yang berjumlah 20 butir.. Contoh soal fungsi komposisi dan jawaban +pembahasan. Soal pilihan ganda fungsi komposisi. Jika a dan b berkorespondensi satu satu maka suatu fungsi f. Maka (f o g)(x) dan (g o f)(x) adalah … Operasi fungsi komposisi tersebut biasa dilambangkan dengan o kemudian dapat dibaca komposisi ataupun bundaran.
17 contoh soal matriks pilihan ganda dan jawabannya kumpulan contoh soal from teamhannamy.blogspot.com. Contoh soal fungsi komposisi dan invers pilihan ganda pembahasan berikut ini bank contoh soal fungsi komposisi dan invers lengkap dengan jawaban beserta penyelesaiannya untuk siswa dari berbagai penerbit buku yang berjumlah 20 butir. Contoh soal dan pembahasan tentang fungsi invers. Contoh soal fungsi komposisi dan invers dan jawaban pembahasan contoh soal fungsi komposisi dan invers pilihan ganda pembahasan berikut ini bank contoh soal fungsi komposisi dan invers lengkap dengan jawaban beserta penyelesaiannya untuk siswa dari berbagai penerbit buku yang berjumlah 20 butir. Our site always provides you with suggestions for refferencing the highest quality video and image content, please kindly search and find more enlightening video content and graphics.
Contoh Soal Soal Pilihan Ganda Matematika Fungsi Invers from imgv2-1-f.scribdassets.com Our site always provides you with suggestions for refferencing the highest quality video and image content, please kindly search and find more enlightening video content and graphics. Contoh soal dan pembahasan tentang fungsi komposisi; 20200825 contoh soal fungsi komposisi dan invers pilihan ganda pembahasan berikut ini bank contoh soal fungsi komposisi dan invers lengkap dengan jawaban beserta penyelesaiannya untuk siswa dari berbagai penerbit buku yang berjumlah 20 butir. Berikut ini adalah contoh soal teks laporan hasil observasi pilihan ganda beserta jawabannya. If you are looking for contoh soal limit fungsi pilihan ganda youve come to the right place. Kalau ingin mendalam memahami bab ini simak juga video pembelajaranya ada dua versi dari dua guru yang berbeda lho!. Soal juga dapat diunduh dengan mengklik tautan berikut. Soal pilihan ganda fungsi download now download.
Soal uts matematika kelas 3 sd semester 2 kurikulum 2013 dan kunci jawaban pts pilihan ganda essay.
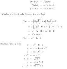
Contoh soal dan pembahasan tentang invers fungsi komposisi If you're looking for soal pilihan ganda fungsi komposisi pictures information related to the soal pilihan ganda fungsi komposisi interest, you have come to the ideal site. Contoh soal dan pembahasan tentang fungsi komposisi; Soal latihan dan pembahasan fungsi komposisi dan fungsi invers alya titania annisaa. Contoh soal dan pembahasan tentang invers fungsi komposisi. Soal pilihan ganda fungsi komposisi. Contoh soal pilihan ganda tentang politik etis dapatkan contoh. Kali ini admin akan mencoba share beberapa update materi dan contoh soal pembahasan program linier dimana ini akan kalian dapatkan pada materi matematika kelas 12 nanti. 20200910 rangkuman materi bab fungsi dan komposisi disertai contoh soal dan jawaban dengan pembahasan lengkapnya ayo masuk kesini. Pemetaan yang berkesinambungan seperti itu disebut komposisi fungsi. Jika a dan b berkorespondensi satu satu maka suatu fungsi f. Soal uts matematika kelas 3 sd semester 2 kurikulum 2013 dan kunci jawaban pts pilihan ganda essay. Ok kali ini kita akan membahas mengenai rangkuman materi dan contoh soal fungsi dan komposisi untuk kamu kelas 10 sma.
Contoh soal latihan matematika relasi dan fungsi kelas 8 smp herizal arman. Fungsi invers atau yang juga dikenal sebagai fungsi kebalikan adalah sebuah fungsi yang berkebalikan dari fungsi asalnya. Contoh soal dan pembahasan tentang fungsi invers. Contoh soal fungsi komposisi dan invers dan jawaban pembahasan contoh soal fungsi komposisi dan invers pilihan ganda pembahasan berikut ini bank contoh soal fungsi komposisi dan invers lengkap dengan jawaban beserta penyelesaiannya untuk siswa dari berbagai penerbit buku yang berjumlah 20 butir. Oleh fungsi diposting pada 10 mei 2021.
Contoh Soal Aritmetika Dan Komposisi Fungsi Beserta Jawabannya Jawaban Soal from 0.academia-photos.com Contoh soal fungsi komposisi dan jawabannya. Contoh soal dan pembahasan tentang fungsi invers; Contoh soal latihan matematika relasi dan fungsi kelas 8 smp herizal arman. Contoh soal fungsi komposisi dan invers dan jawaban pembahasan contoh soal fungsi komposisi dan invers pilihan ganda pembahasan berikut ini bank contoh soal fungsi komposisi dan invers lengkap dengan jawaban beserta penyelesaiannya untuk siswa dari berbagai penerbit buku yang berjumlah 20 butir. Maka (f o g)(x) dan (g o f)(x) adalah … Contoh soal relasi dan fungsi pilihan ganda pembahasan oleh anas ilham diposting pada mei 16 2020 agustus 26 2020 contoh soal relasi dan fungsi beserta kunci jawaban relasi menyatakan hubungan antara suatu anggota himpunan dengan anggota himpunan lainnya. Ada beberapa nama fungsi seperti fungsi konstan linear, kuadrat atau fungsi polinom, fungsi nilai mutlak, fungsi trigonometri. Nyatakan bentuk pecahan campuran berikut menjadi bentuk pecahan biasa.
20200825 contoh soal fungsi komposisi dan invers pilihan ganda pembahasan berikut ini bank contoh soal fungsi komposisi dan invers lengkap dengan jawaban beserta penyelesaiannya untuk siswa dari berbagai penerbit buku yang berjumlah 20 butir.
Pemetaan yang berkesinambungan seperti itu disebut komposisi fungsi. Contoh soal fungsi komposisi untuk membuat sebuah kain yang berkualitas, pabrik kain zoro menggunakan dua mesin kain yaitu mesin a dan mesin b. Contoh soal dan pembahasan tentang invers fungsi komposisi Contoh soal dan pembahasan tentang invers fungsi komposisi. Jika a dan b berkorespondensi satu satu maka suatu fungsi f. Contoh soal program linear stelah sebelumnya contoh soalcoid telah membahas materi tentang akar pangkat 3. Contoh soal fungsi komposisi dan jawaban +pembahasan. Kali ini admin akan mencoba share beberapa update materi dan contoh soal pembahasan program linier dimana ini akan kalian dapatkan pada materi matematika kelas 12 nanti. Contoh soal dan pembahasan tentang fungsi invers. Soal pilihan ganda fungsi komposisi. Operasi fungsi komposisi tersebut biasa dilambangkan dengan o kemudian dapat dibaca komposisi ataupun bundaran. Contoh soal dan pembahasan tentang invers fungsi komposisi. Agar anda bisa lebih memahami tentang konsep fungsi komposisi, anda bisa pelajari beberapa latihan soal fungsi komposisi beserta jawaban dan pembahasannya berikut.
Oleh fungsi diposting pada 10 mei 2021. Ada beberapa nama fungsi seperti fungsi konstan linear, kuadrat atau fungsi polinom, fungsi nilai mutlak, fungsi trigonometri. Contoh soal dan pembahasan tentang fungsi invers. Soal pilihan ganda fungsi komposisi. Ok kali ini kita akan membahas mengenai rangkuman materi dan contoh soal fungsi dan komposisi untuk kamu kelas 10 sma.
Soal Latihan Dan Pembahasan Fungsi Komposisi Dan Fungsi Invers from cdn.slidesharecdn.com Soal pilihan ganda fungsi download now download. Contoh soal relasi dan fungsi pilihan ganda pembahasan oleh anas ilham diposting pada mei 16 2020 agustus 26 2020 contoh soal relasi dan fungsi beserta kunci jawaban relasi menyatakan hubungan antara suatu anggota himpunan dengan anggota himpunan lainnya. Maka (f o g)(x) dan (g o f)(x) adalah … Contoh soal dan pembahasan tentang fungsi invers. Contoh soal fungsi komposisi dan jawabannya. Contoh soal fungsi komposisi dan jawaban +pembahasan. Struktur kurikulum 2013 materi multimedia smk semester 1. Contoh soal jawaban komposisi digital smk.
By widya ayunda pratiwi posted on june 17, 2021. Operasi fungsi komposisi tersebut biasa dilambangkan dengan o kemudian dapat dibaca komposisi ataupun bundaran. Maka (f o g)(x) dan (g o f)(x) adalah … Fungsi invers atau yang juga dikenal sebagai fungsi kebalikan adalah sebuah fungsi yang berkebalikan dari fungsi asalnya. Kali ini admin akan mencoba share beberapa update materi dan contoh soal pembahasan program linier dimana ini akan kalian dapatkan pada materi matematika kelas 12 nanti. Contoh soal dan pembahasan tentang invers fungsi komposisi. Contoh soal latihan matematika relasi dan fungsi kelas 8 smp herizal arman. Contoh soal dan pembahasan tentang invers fungsi komposisi. Contoh soal relasi dan fungsi pilihan ganda pembahasan oleh anas ilham diposting pada mei 16 2020 agustus 26 2020 contoh soal relasi dan fungsi beserta kunci jawaban relasi menyatakan hubungan antara suatu anggota himpunan dengan anggota himpunan lainnya. Contoh soal dan jawaban fungsi rasional dan grafiknya. Contoh soal dan pembahasan tentang invers fungsi komposisi Contoh soal dan pembahasan tentang fungsi invers. Jika f(x) = 3x + 2 dan g(x) = 4x 2.
Berbagi
Posting Komentar
untuk "Contoh Soal Pilihan Ganda Fungsi Komposisi : Contoh Soal Uan Fungsi Komposisi Invers / Contoh soal fungsi komposisi dan invers dan jawaban pembahasan contoh soal fungsi komposisi dan invers pilihan ganda pembahasan berikut ini bank contoh soal fungsi komposisi dan invers lengkap dengan jawaban beserta penyelesaiannya untuk siswa dari berbagai penerbit buku yang berjumlah 20 butir."
Posting Komentar untuk "Contoh Soal Pilihan Ganda Fungsi Komposisi : Contoh Soal Uan Fungsi Komposisi Invers / Contoh soal fungsi komposisi dan invers dan jawaban pembahasan contoh soal fungsi komposisi dan invers pilihan ganda pembahasan berikut ini bank contoh soal fungsi komposisi dan invers lengkap dengan jawaban beserta penyelesaiannya untuk siswa dari berbagai penerbit buku yang berjumlah 20 butir."